Questões sobre potenciação de número complexo
Questão 1
MatemáticaUNIMONTES2018A equação i23 + i35 , na qual i é a unidade imaginária, vale
Questão 2
MatemáticaUEA2018Considere a unidade imaginária i, tal que i2 = –1. O resultado da expressão i4 + i8 + i12 + i5 + i9 + i13 – 3(i – 1) é
Questão 3
MatemáticaFAG2018Considere i a unidade imaginária dos números complexos. O valor da expressão (i + 1)8 é:
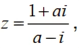
Questão 4
MatemáticaUNICAMP2016Considere o número complexo onde a é um número real e i é a unidade imaginária, isto é, i2 = −1. O valor de z2016 é igual a
Questão 5
MatemáticaESA2018Considere o número complexo z = 2 + 2i.
Dessa forma, z100:
Questão 6
MatemáticaFGV-SP2016Observe o plano Argand-Gauss a seguir:
Elevando-se a 2015 o número complexo indicado nesse plano Argand-Gauss, o afixo do número obtido será um ponto desse plano com coordenadas idênticas e iguais a
Questão 7
MatemáticaUECE2016O conjunto dos números complexos pode ser representado em um plano munido do sistema de coordenadas cartesianas usual. As raízes da equação x 4 – 9 = 0, quando representadas no plano, correspondem a pontos que são vértices de um
Questão 8
MatemáticaUFMS2019Sabendo que z = 1 + i, qual o valor da parte real de 211?